Предмет: Алгебра,
автор: vhgb3
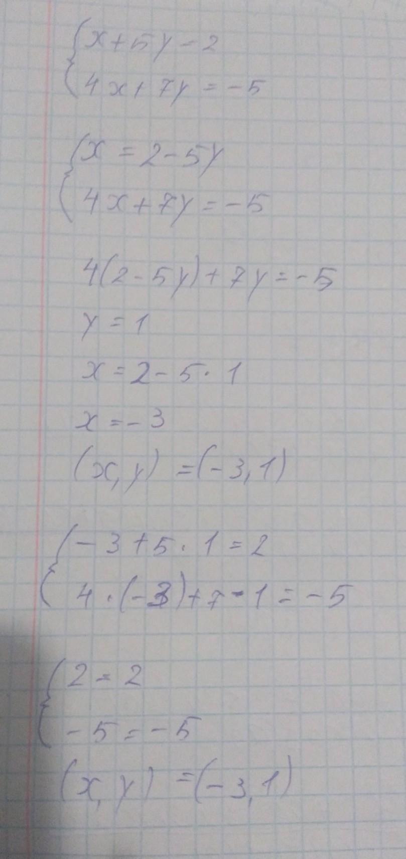
Решите систему уравнения методом сложения
Пожалуйста решите!
Приложения:
Ответы
Автор ответа:
2
Ответ:
Надеюсь понятно
Объяснение:
Ответ на фото
Приложения:
Похожие вопросы
Предмет: Українська мова,
автор: bbojchenkametod
Предмет: Русский язык,
автор: vichcka
Предмет: Другие предметы,
автор: Альka
Предмет: Математика,
автор: kgvjk548
Предмет: Музыка,
автор: саша3646