Предмет: Алгебра,
автор: vovavovchik117
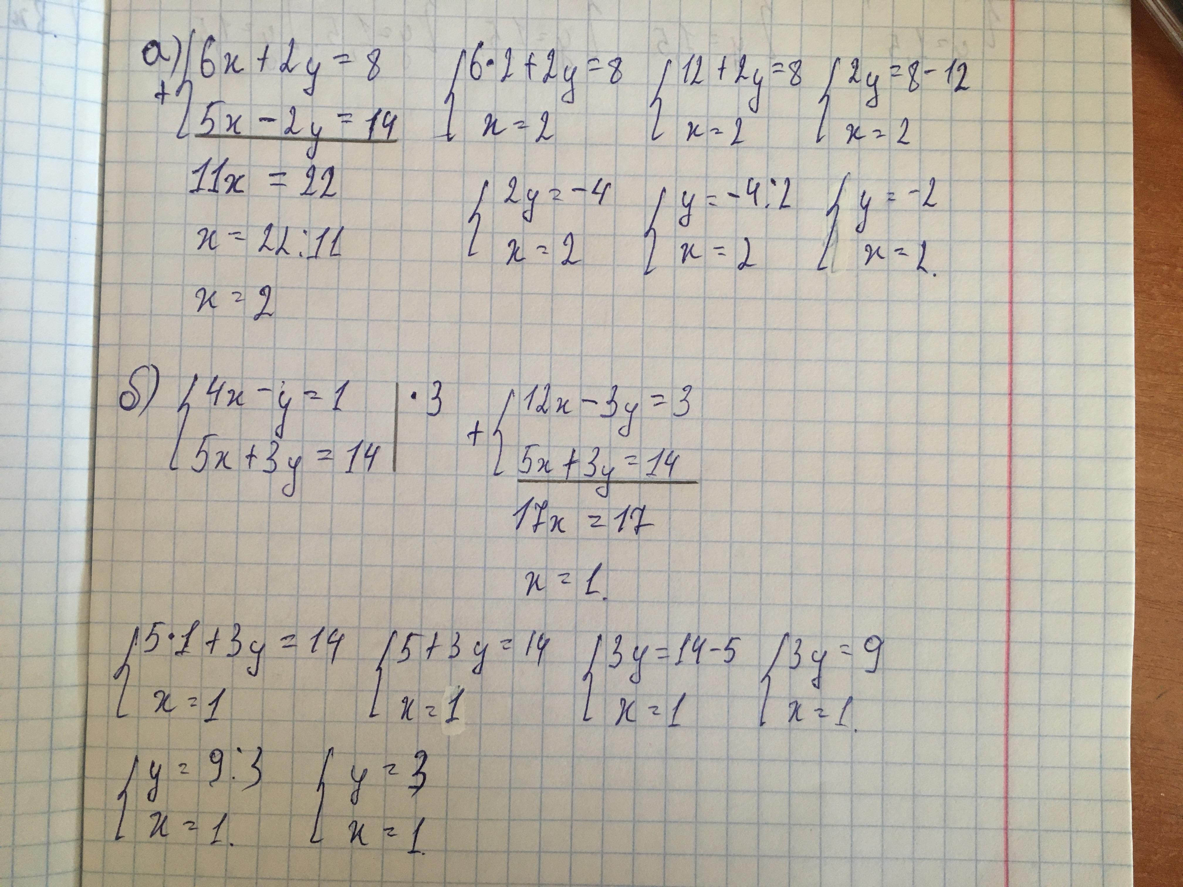
Решите систему способом сложения: а) 6х+2у=8,
5х-2у=14;
б) 4х-у=1, 5х+3у=14;
в) 4х+2у=5, 4х-6у=-7.
Ответы
Автор ответа:
2
Ответ:
Вот
Объяснение:
Приложения:
Похожие вопросы
Предмет: Математика,
автор: Я6907900
Предмет: География,
автор: tgalkina76
Предмет: Химия,
автор: arisha3197
Предмет: История,
автор: Стеша11111111
Предмет: Алгебра,
автор: Аким1аким