Предмет: Физика,
автор: kkosukhin03
Срооооочно прошу даю 30б
Приложения:
Ответы
Автор ответа:
0
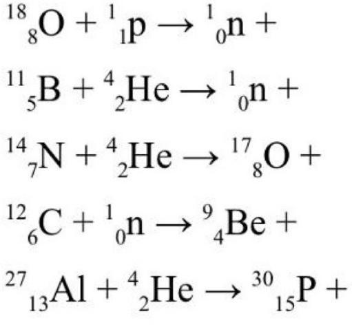
Ответ:а) 42He; б) 189F; в) 147N; г) 10n; д) γ; е) 11p
Объяснение:
Похожие вопросы
Предмет: Математика,
автор: ylr84
Предмет: Математика,
автор: Damir6226
Предмет: Математика,
автор: maxim13042002
Предмет: Физика,
автор: Pandochka0821
Предмет: История,
автор: артур425