Предмет: Математика,
автор: peaceful30
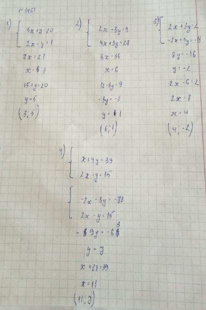
1461. Решите системы уравнений способом сложения:
(1,3)
Приложения:
Ответы
Автор ответа:
167
Ответ:
Пошаговое объяснение:
Приложения:
ernarmalik5656:
Спасибо!
Спс
Похожие вопросы
Предмет: Русский язык,
автор: det85
Предмет: Другие предметы,
автор: 11223344455afuj
Предмет: Английский язык,
автор: іннулічка
Предмет: Литература,
автор: keklolorbidol21
Предмет: Геометрия,
автор: ника1043