Предмет: Математика,
автор: Аноним
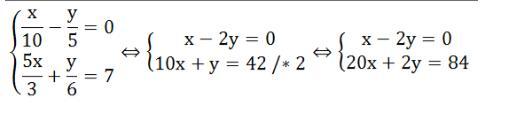
Закончи решение системы, сложив первой и второе
уравнение.
Помогите пожалуйста
Приложения:
Simba2017:
21x=84; x=4; y=2
Ответы
Автор ответа:
1
21х=84
х=4
х-2у=0
4-2у=0
-2у=-4
у=2
ответ:(4;2)
х=4
х-2у=0
4-2у=0
-2у=-4
у=2
ответ:(4;2)
Похожие вопросы
Предмет: Қазақ тiлi,
автор: azharmukhitova
Предмет: Русский язык,
автор: ЯДанил
Предмет: Русский язык,
автор: Аноним
Предмет: Математика,
автор: iluchacross
Предмет: Математика,
автор: TanushkaTanulka