Предмет: Алгебра, автор: lyk7sg

Нужна помощь....срочно

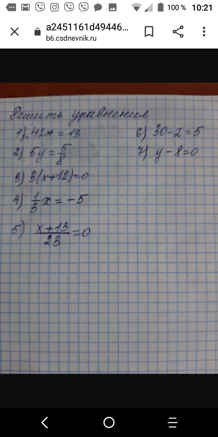
Приложения:

Ответы

Автор ответа: minimat345
0

Ответ:

  1. x = 0,31
  2. y = 1/8
  3. x = -12
  4. x = -15
  5. x = -13; b = 0
  6. z = 25
  7. y = 8

Объяснение:

1. 42x = 13

x = 13/42

x ~= 0,31

2. 5y = 5/8

y = 5/ ( 5/8 )

y = 5/40 = 1/8

3. 3(x + 12) = 0

т.к. это - произведение, то один из множ. будет ране нулю, то есть

3 = 0 ( но, так как 3 не равно 0, то оно не подходит )

или

x + 12 = 0

x = 0 - 12

x = -12

4. 1/3x = - 5

x = -5 / ( 1/3 )

x = -5 * 3

x = -15

5. (x + 13) / (2b) = 0

то же самое, что и в третьем урав-ии, то есть

x + 13 = 0 и 2b = 0

x = -13     и   b = 0

6. 30 - z = 5

-z = 5 - 30

-z = -25

z = 25

7. y - 8 = 0

y =  0 + 8

y = 8


lyk7sg: Точно правильно? Уверен/а?
minimat345: да, уверен
minimat345: нууу, только если не надо округлять до ддесятичной дроби
Похожие вопросы
Предмет: Русский язык, автор: vajeria8
Предмет: Русский язык, автор: хочувсезнать2014
Предмет: Алгебра, автор: Egorkalele