Предмет: Алгебра,
автор: 47sqd
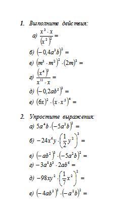
Помогите пожалуйста желательно до 3х часов дня по МСК
Приложения:
Ответы
Автор ответа:
0
Ответ в приложенном фото )
Приложения:
Похожие вопросы
Предмет: Английский язык,
автор: hgjvh
Предмет: Другие предметы,
автор: алёна2003вологдина
Предмет: Русский язык,
автор: Олюньчик30
Предмет: История,
автор: viktoria330