Предмет: Химия,
автор: sergeipopkov2004
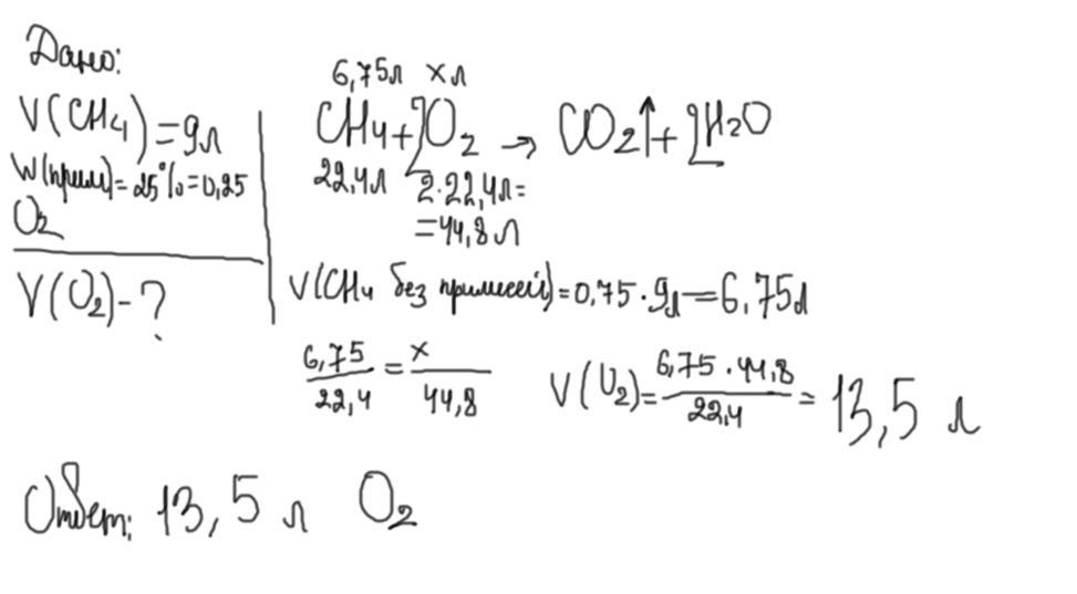
. Какой объем кислорода (н.у.) потребуется для сгорания 9 л метана, содержащего 25% негорючих примесей.
Ответы
Автор ответа:
3
Ответ: 13,5 л кислорода
Приложения:
Похожие вопросы
Предмет: Русский язык,
автор: marpuh09
Предмет: Английский язык,
автор: zhernovskajava
Предмет: Русский язык,
автор: artemyupaev
Предмет: Математика,
автор: дашка470
Предмет: Математика,
автор: Bikit1212222