Предмет: Алгебра, автор: katekatedoll

Помогите пожалуйста, срочно решить задание по математике! 40Б

Приложения:

Ответы

Автор ответа: Universalka
1

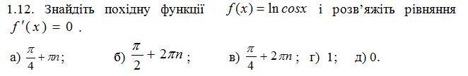
f(x)=lnCosx\\\\f'(x)=(lnCosx)'=\frac{1}{Cosx}*(Cosx)'=\frac{1}{Cosx}*(-Sinx)=-\frac{Sinx}{Cosx}=-tgx\\\\f'(x)=0\Rightarrow -tgx=0\\\\tgx=0\\\\x=\pi n,n\in Z\\\\

ОДЗ :

Cosx>0\\\\-\frac{\pi }{2}+2\pi n<x<\frac{\pi }{2}+2\pi n,n\in Z\\\\Otvet:\boxed{0}

Похожие вопросы
Предмет: Химия, автор: vanyavarya