Предмет: Математика,
автор: bombienko
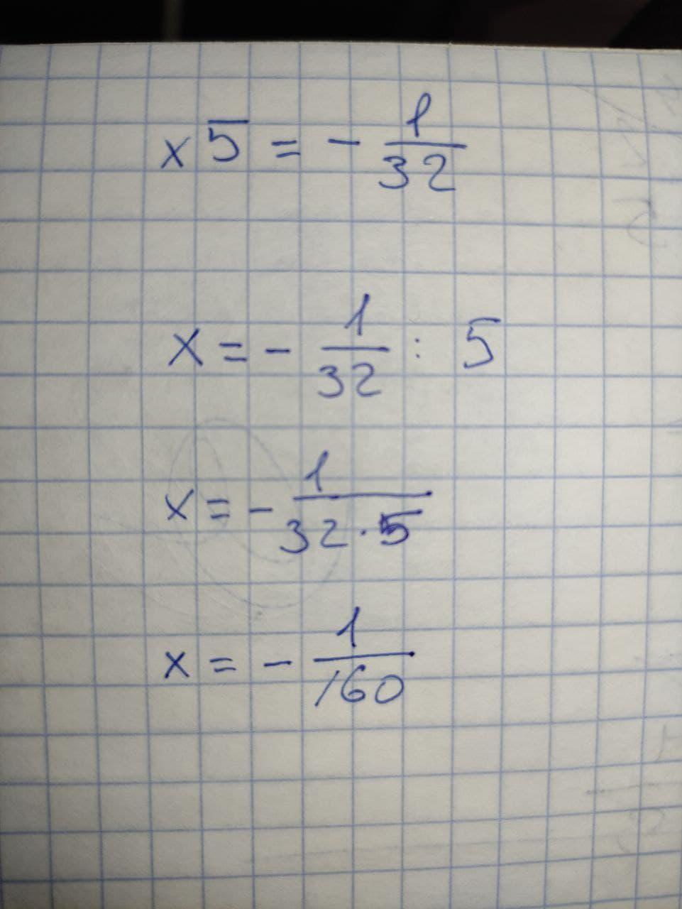
Решите уравнение x5=-1/32
Ответы
Автор ответа:
0
Ответ:
Пошаговое объяснение:
Приложения:
Похожие вопросы
Предмет: Другие предметы,
автор: максюлия
Предмет: Английский язык,
автор: Karamelka70
Предмет: Английский язык,
автор: borisowaanna20
Предмет: Биология,
автор: yarinakarkulov
Предмет: Физика,
автор: ЛевиТян