Предмет: Алгебра,
автор: fireyou1337
Срочно даю 30 баллов
Приложения:
Ответы
Автор ответа:
1
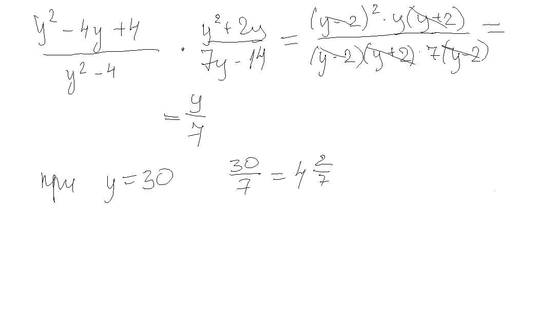
Ответ:
4 2/8
Объяснение:
Приложения:
fireyou1337:
Надеюсь правильно✔️
А там разве может быть не целое число?
а почему не может?
Я просто спросил
Похожие вопросы
Предмет: Английский язык,
автор: ma0220
Предмет: Русский язык,
автор: kristya55
Предмет: Русский язык,
автор: yulia200111
Предмет: Математика,
автор: lyubovfedorenko1973
Предмет: География,
автор: vipmariapopov