Предмет: Алгебра,
автор: korolandrey2006
Срочно помогите напишите толково решение даю 10 балло
Приложения:
Ответы
Автор ответа:
1
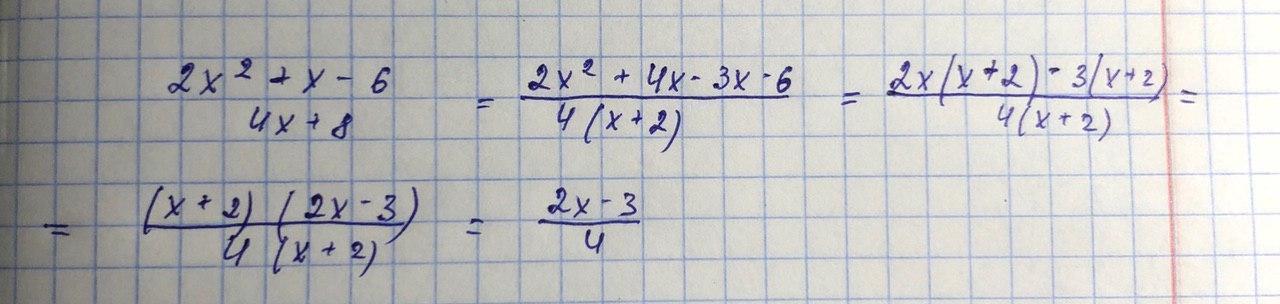
Ответ:
2х-3/4
Объяснение:
Приложения:
Похожие вопросы
Предмет: Русский язык,
автор: kitiket92
Предмет: Қазақ тiлi,
автор: Dyatlovay
Предмет: Русский язык,
автор: marialferova0
Предмет: Геометрия,
автор: vityatrushin0
Предмет: Алгебра,
автор: VityaHarkov