Предмет: Алгебра, автор: ELYAgn

Помогитееее.... дам 20 баллов
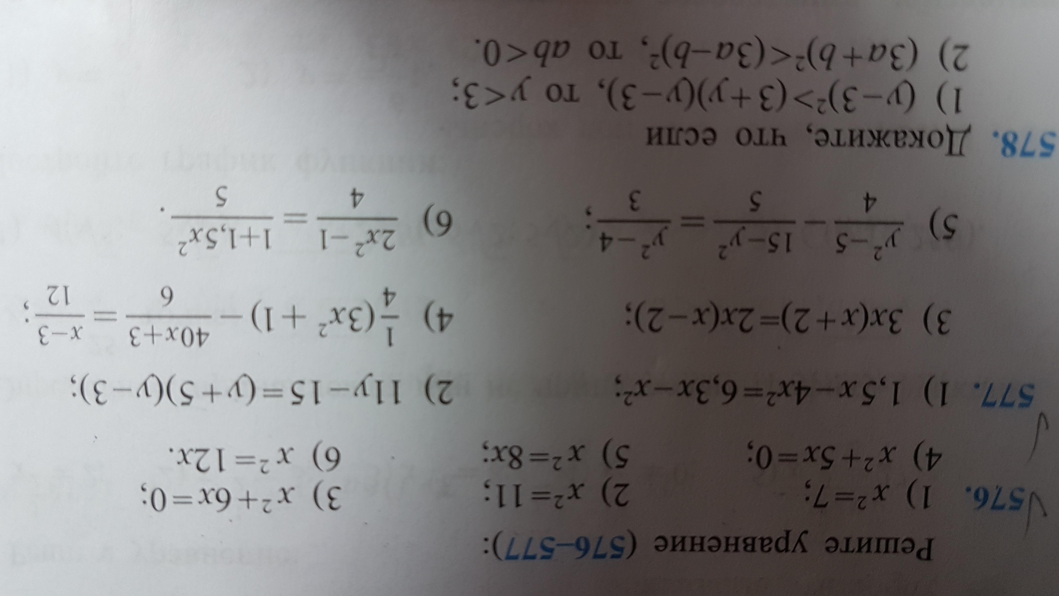
Номер 577)) заранее спасибо большое

Приложения:

Ответы

Автор ответа: lilyfedorova2
2

Ответ:смотри фото

Объяснение:

Приложения:
Похожие вопросы
Предмет: Русский язык, автор: lopacheva17
Особенно красив и печален русский лес
Особенно красив и печален русский лес в ранние осенние дни. На золо-
том фоне пожелтевшей листвы выделяются яркие пятна раскрашенных кленов,
осин. Медленно кружась в воздухе, падают с берез пожелтевшие легкие листья.
От дерева к дереву протянуты тонкие серебристые нити липкой паутины. Тихо
в осеннем лесу. Шелестит под ногами опавшая сухая листва. Кое-где краснеет
шапка позднего подосиновика. Тонко просвистит рябчик, прокличут высоко в
небе пролетающие косяком журавли.
Еще зеленый, роняя спелые желуди, стоит на краю леса старый развеси-
стый дуб. Но уже оголились вершины берез. На темном фоне сплошного елово-
го леса отчетливо видны яркие краски кленов и осин. Уже облетели, плавают на
воде легкие пожелтевшие листья ив. Хорошо в осеннем цветистом лесу, долго
не хочется уходить из него, прощаться с золотыми осенними днями
1)Тип речи
2) Сколько смысловых частей.
3) Озаглавьте каждую смысловую часть
4) Стиль текста
5) Выпишите причастия, глагольные форма и деепричастия
ЧТО ТАКОЕ ГЛАГОЛЬНЫЕ ФОРМА?
Предмет: Литература, автор: Sabirovnenormalniy
Предмет: Алгебра, автор: 14142017