Предмет: Алгебра,
автор: mmmmrrrrr80
Помогите пожалуйста по математике (алгебра) срочно надо умоляю
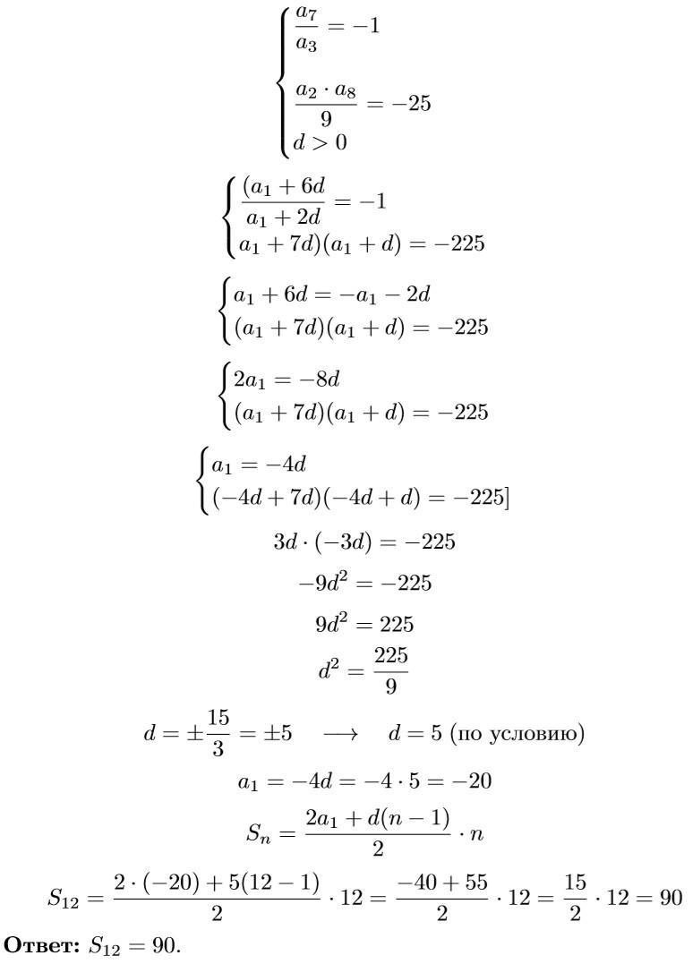
найдите сумму первых 12-ти членов арифметческой прогресии (аn) , если а7/а3 =-1 , а2 * а8/ 9 = -25 , d > 0
Ответы
Автор ответа:
1
Если возникнут какие-либо вопросы — задавайте. Если мой ответ оказался полезен, нажимайте «спасибо» и отмечайте его как «лучший ответ».
Приложения:
Похожие вопросы
Предмет: Русский язык,
автор: elenaknutova
Предмет: Английский язык,
автор: karavnatali
Предмет: Английский язык,
автор: SlashContar
Предмет: Биология,
автор: Sasha3571
Предмет: Биология,
автор: olyadiam