Предмет: Алгебра, автор: polina7139

решить системы уравнений методом сложения:
очень срочно пожалуйста ​

Приложения:

Ответы

Автор ответа: wieslawlozickip5w1nd
1

Ответ:

Объяснение:

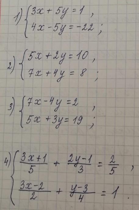
1)

   {3x+5y=1

(+){4x-5y=-22

--------------------

    7x=-21

      x=-3   stawiamy do (1) równania  :3x+5y=1

3*(-3)+5y=1

5y=10

y=2

OTBET: (-3;3)

2)

{5x+2y=10     // *(-2)

{7x+4y=8

   {-10x-4y=-20

(+){7x+4y=8

-----------------.

    -3x=-12

x=4            podstawiam do (2) równania : 7x+4y=8

7*4+4y=8

     4y=-20

       y=-5

OTBET:(4;-5)

3)

{7x-4y=2   // *3

{5x+3y=19  // * 4

   {21x-12y=6

(+){20x+12y=76

---------------------.

    41x=82

       x=2        stawiam do (2)równania : 5x+3y=19

5*2+3y=19-10

3y=9

y=3

OTBET:(2;3)

4)

{ (3x+1)/5 + (2y-1)/3=2/5  // *15

{(3x-2)/2 + (y-3)/4 =1  // *4

{3(3x+1)+5(2y-1)=6

{2(x-2)+y-3=4

{9x+10y=4

{2x+y=11   // *(-10)

  {9x+10y=4

(+){-20-10y=-110

----------------------.

      -11x=-106

          x=106/11   stawiam do (2)równania : 2x+y=11

2*106/11+y=11

y=11-212/11=(121-212)/11

y=-91/11

OTBET: (106/11; -91/11)

 

Похожие вопросы
Предмет: Русский язык, автор: donel99