Предмет: Алгебра,
автор: dariyamykhalchuk
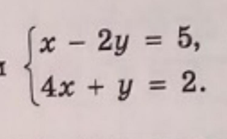
1 Система рівнянь способом підстановки
Приложения:
Ответы
Автор ответа:
0
Ответ:
(x,y)=(1,-2)
Объяснение:
1. x=5+2y
4x+y=2
2.4(5+2y)+y=2
3.y=-2
4.x=5+2(-2)
5.x=1
Автор ответа:
1
Ответ:
у=-2
х=1
Объяснение:
Выразим х через у
х=5+2у
4(5+2у)+у=2
х=5+2у
20+9у=2
х=5+2у
9у=-18
у=-2
х=1
dariyamykhalchuk:
Дякую зроби там ще одне бо я не то виклала
Похожие вопросы
Предмет: Другие предметы,
автор: Ylia101002
Предмет: Английский язык,
автор: pyataeva2002
Предмет: Русский язык,
автор: Varvara565
Предмет: Литература,
автор: Vika05758
Предмет: Литература,
автор: Chelsea2004