Предмет: Алгебра,
автор: evgeniatarasenko84
Розкласти на множники квадратный тричлен - 4х^2-21х+18
Ответы
Автор ответа:
0
Ответ:
Объяснение:
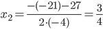
4 x2 -21 x + 18 = 0
Находим дискриминант:
D=(-21)2 - 4·(-4)·18=729
Корни уравнения:
Приложения:
Похожие вопросы
Предмет: Русский язык,
автор: Муаззез
Предмет: Українська мова,
автор: pakhomov1
Предмет: Русский язык,
автор: Аноним
Предмет: Математика,
автор: Hel72
Предмет: Алгебра,
автор: siben