Предмет: Алгебра, автор: fafah

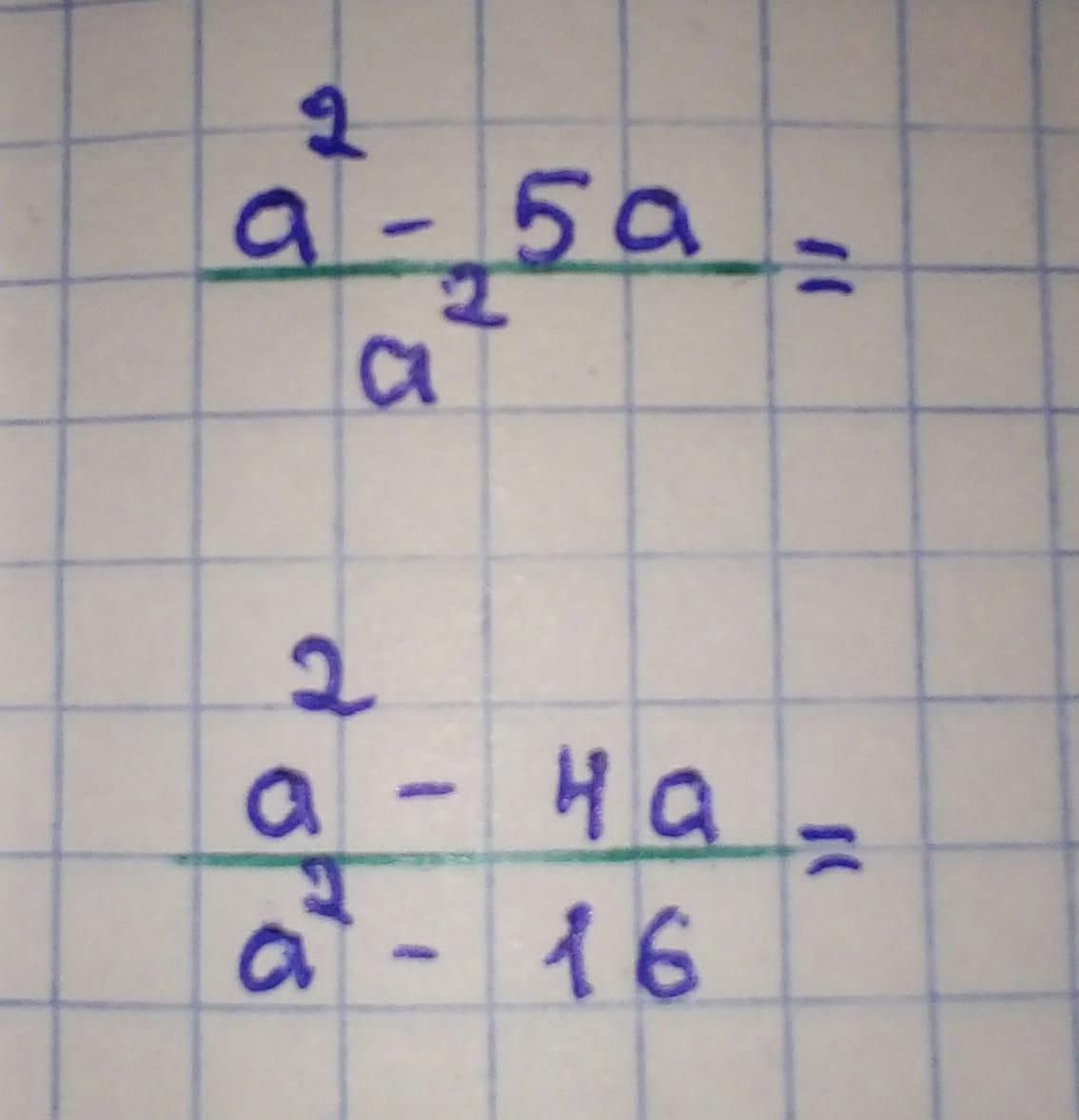
ПРОШУУ СОКРАТИТЕ ДРОБЬ ВСЕГО ДВА ПРИМЕРЫ ДАЮ 35 БАЛЛОВ

Приложения:

Ответы

Автор ответа: Jkearnsl
1

Объяснение:

1) в числителе выносим за скобки "а":

 \frac{a(a - 5)}{ {a}^{2} }

сокращаем "a" и "а²", и получаем:

 \frac{a - 5}{ a }

2) по подобному принципу решаем вторую:

 \frac{a(a - 4)}{(a - 4)(a + 4)}

сокращаем две подобные скобки и получаем:

 \frac{a}{a + 4}

если есть вопросы, задавайте в комментариях

Похожие вопросы
Предмет: Математика, автор: DashekaAfanaseva