Предмет: Алгебра, автор: fwefgerh

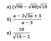
Упростите выражения. В пункте «а» получите числовое значение; в п. «б» − сократите дробь; в п. «в» − избавьтесь от иррациональности в знаменателе:
a) (√90-√40)√10
б) a-2√3a+3 / a-3
в) 10 / √14-2

Приложения:

Ответы

Автор ответа: user256300814
17

1. упростим корень

(3 \sqrt{10}  - 2 \sqrt{10} ) \sqrt{10}  =  \sqrt{10}  \times  \sqrt{10} = 10

2.разложить на множетели

 \frac{( \sqrt{a} -  \sqrt{3} ) {}^{2} }{ (\sqrt{a} -  \sqrt{3})( \sqrt{a} +  \sqrt{3})    }  =  \frac{ \sqrt{a} -  \sqrt{3}  }{ \sqrt{a} +  \sqrt{3}  }

3.умножаем на дробь

 \frac{10}{ \sqrt{14}  - 2}  \times  \frac{ \sqrt{14} + 2 }{ \sqrt{14} + 2 }  =  \frac{10( \sqrt{14}  + 2)}{14 - 4}  =  \sqrt{14}   + 2

Похожие вопросы
Предмет: Математика, автор: maxkabyshev1