Предмет: Алгебра,
автор: eqwt4w3
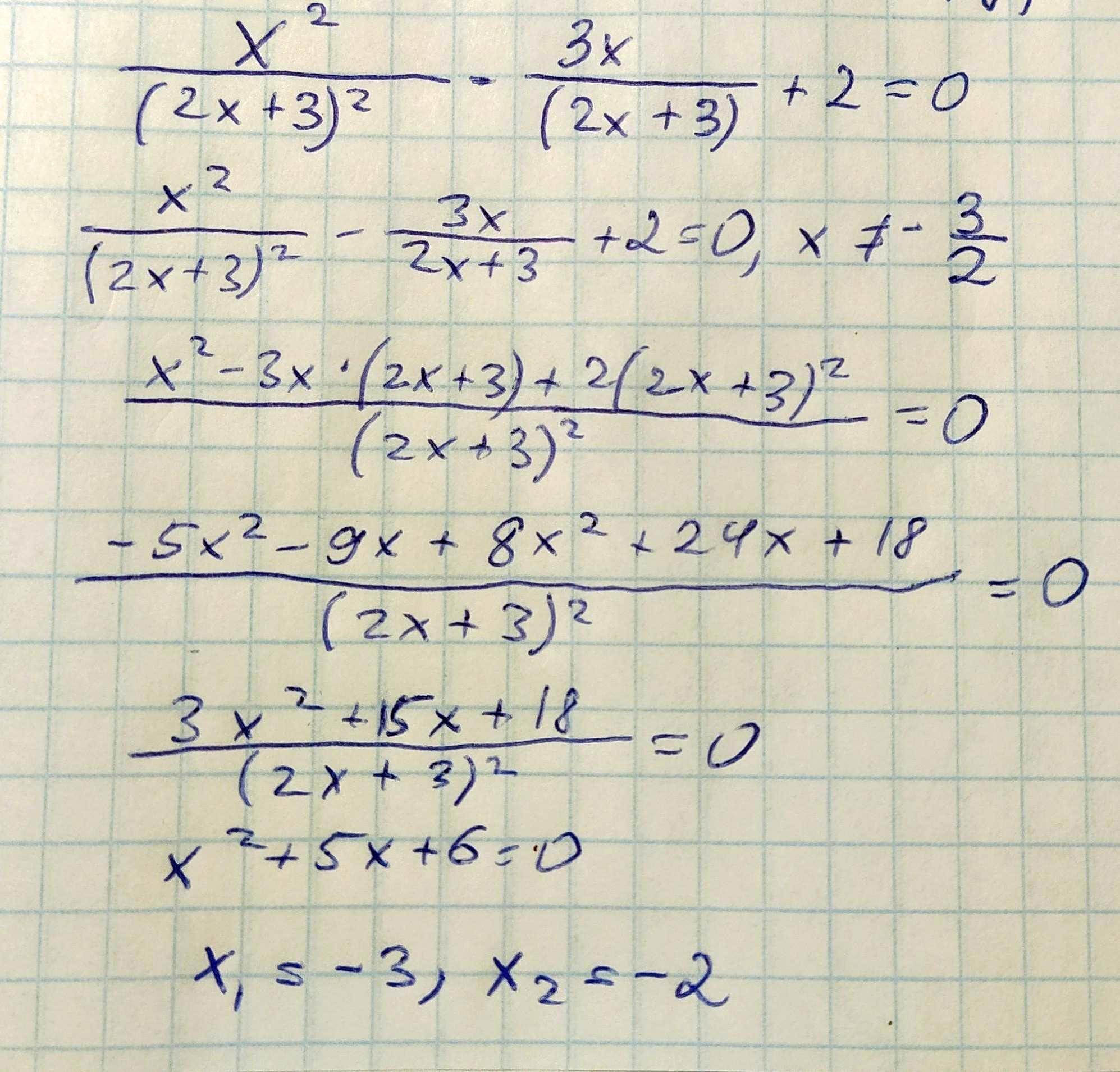
Найдите ОДЗ выражения: x^2/(2x+3)^2 - 3x/2x+3 + 2 =0
Ответы
Автор ответа:
1
Ответ:
Думаю помогла
Объяснение:
Приложения:
eqwt4w3:
Спасибо! Я так понимаю, что одз это: x не равен -3/2?
Да
Похожие вопросы
Предмет: Русский язык,
автор: Викалет
Предмет: Русский язык,
автор: cili02
Предмет: Русский язык,
автор: Аня0102
Предмет: Литература,
автор: ZinchenkoValentin
Предмет: Химия,
автор: timmachine2