Предмет: Математика,
автор: Аноним
помогите пжпжпж молююююю
Приложения:
Ответы
Автор ответа:
1
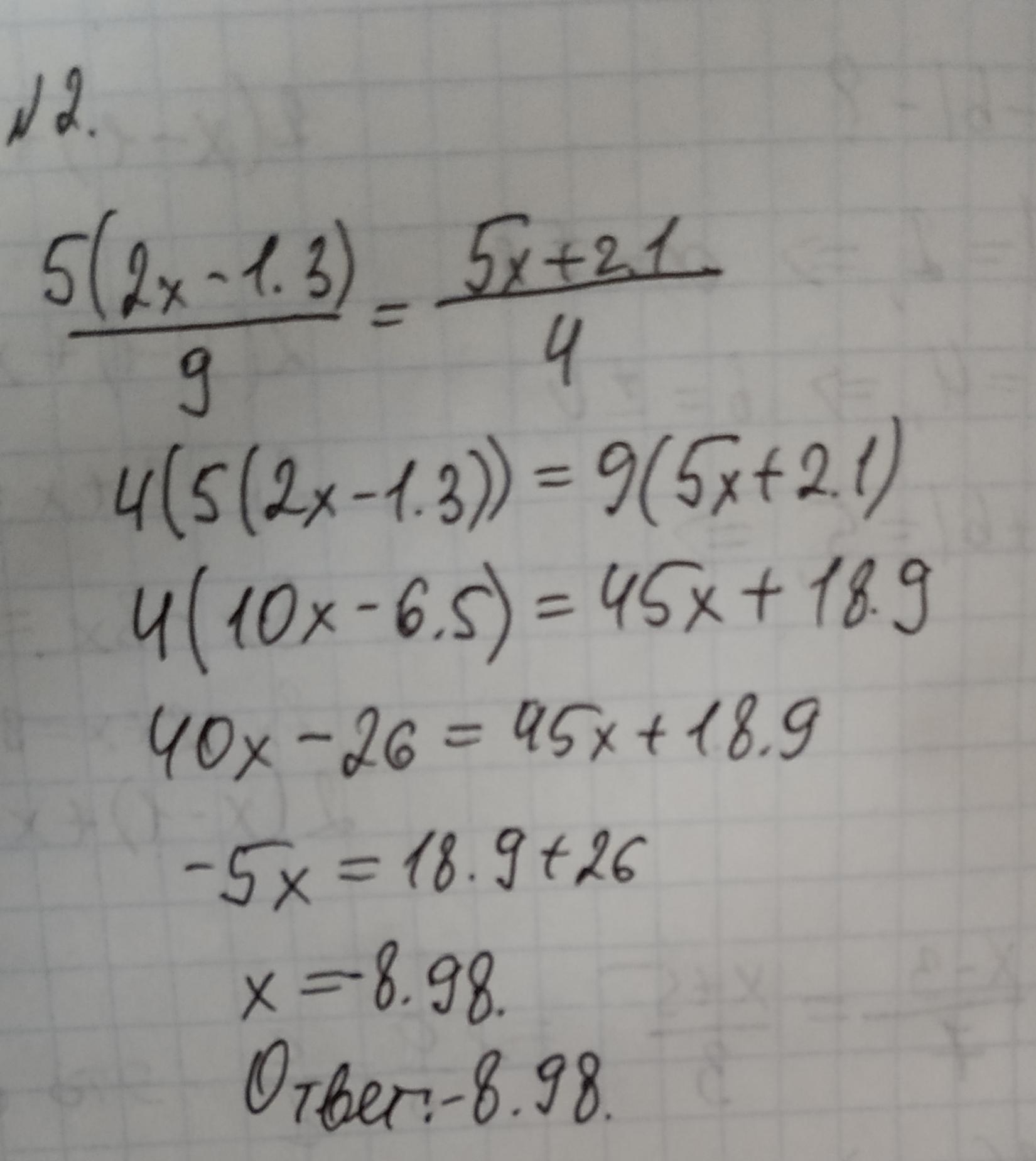
Решение во вложении. Надеюсь, всё предельно понятно)
Приложения:
ViktoriaPobloki:
Как ты и просила)
)))))))))
Похожие вопросы
Предмет: Українська мова,
автор: LAIF79
Предмет: Другие предметы,
автор: ЧёkоLaDkA
Предмет: Қазақ тiлi,
автор: skolotova2001
Предмет: Математика,
автор: dashasysoeva21082004
Предмет: Химия,
автор: Маниа