Предмет: Химия,
автор: natashaaaaaaaaaaaa14
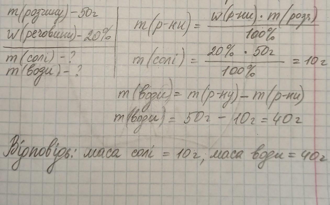
Обчисліть масу солі і води, необхідні для приготування розчину масою 50 г з масовою часткою розчиненої речовини 20 %
Ответы
Автор ответа:
25
Ответ:
Не знаю, когда был задан этот вопрос, может уже и не нужен ответ, но пусть решение всё же будет.
Приложения:
Похожие вопросы
Предмет: Українська мова,
автор: dovbeshkok
Предмет: Русский язык,
автор: самирочка
Предмет: Русский язык,
автор: samvel2003
Предмет: Математика,
автор: АзалькаЗайка1
Предмет: Физика,
автор: ilyavinogradov131