Предмет: Алгебра,
автор: Mooon23
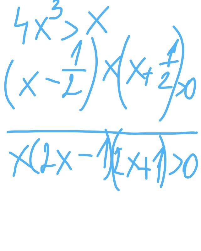
4x^3 - x > 0 Решите неравенство пожалуйста
Ответы
Автор ответа:
0
Объяснение:
надеюсь понятно,если нет то спрашивай❤️
Приложения:
Автор ответа:
1
Ответ:
Объяснение:
4x³ - x > 0
x(4x²-x)> 0
4x(x²-1/4)>0
4x(x-1/2(x+1/2)>0
x=0 ,x=1/2 , x=-1/2
- + - +
-------o--------o-------o------- >
-1/2 0 1/2
x e (-1/2;0)U1/2+∞)
Похожие вопросы
Предмет: Русский язык,
автор: НастяЕрмилова
Предмет: Русский язык,
автор: kiryalitvinov
Предмет: Русский язык,
автор: mashavoproskalganova
Предмет: Математика,
автор: годпррофи
Предмет: Физика,
автор: Zoomy436