Предмет: Алгебра,
автор: bakzhanzhappar
ПОМОГИТЕ СОР!!!!
40 БАЛЛОВ
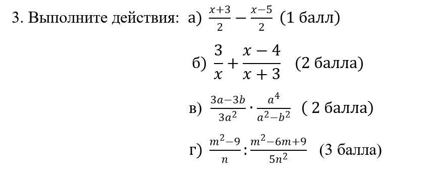
Приложения:
Ответы
Автор ответа:
0
Ответ:
програма Photomath
Объяснение:
......
Похожие вопросы
Предмет: Русский язык,
автор: Masha85ru
Предмет: Русский язык,
автор: 280379
Предмет: Қазақ тiлi,
автор: AliyaS
Предмет: Алгебра,
автор: Аноним