Предмет: Математика,
автор: allakverdievaelmira
посогите и поскорее! х^2+х/х^2
Ответы
Автор ответа:
2
Ответ:
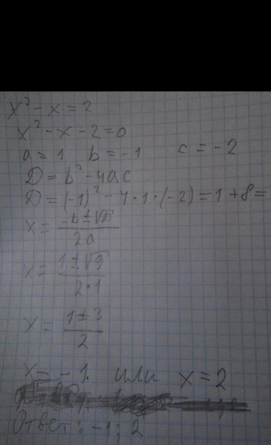
там где 1+8 это будет 9>с
Приложения:
allakverdievaelmira:
Спасибо!
не за что
Нужно было сократить дробь
прости я не смогла сократить
Похожие вопросы
Предмет: Русский язык,
автор: tanyaapanits
Предмет: Английский язык,
автор: andrei30rus95
Предмет: Английский язык,
автор: vikki205
Предмет: Математика,
автор: мама604