Предмет: Математика,
автор: Аноним
помогите срочно даю 15 балов
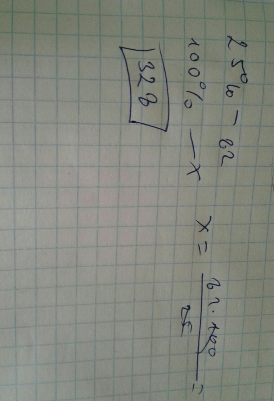
Найдите число, 25% которого равны 82.
maksim8889:
прив
мой можешь удалять
счего так
Ответы
Автор ответа:
1
Ответ:
328 объяснение на верху
Приложения:
правда?
Похожие вопросы
Предмет: Русский язык,
автор: maslinakatya
Предмет: Другие предметы,
автор: Naki1
Предмет: Русский язык,
автор: liza2348
Предмет: География,
автор: Россссигнол
Предмет: Математика,
автор: Sirius07