Предмет: Геометрия,
автор: Sophia2121
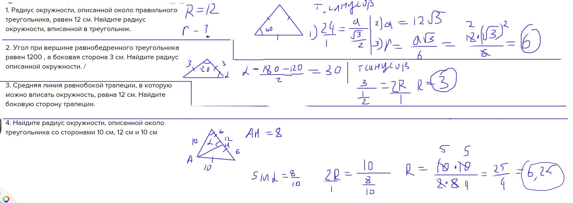
1. Радиус окружности, описанной около правильного треугольника, равен 12 см. Найдите радиус окружности, вписанной в треугольник.
2. Угол при вершине равнобедренного треугольника равен 1200 , а боковая сторона 3 см. Найдите радиус описанной окружности. /
3. Средняя линия равнобокой трапеции, в которую можно вписать окружность, равна 12 см. Найдите боковую сторону трапеции.
4. Найдите радиус окружности, описанной около треугольника со сторонами 10 см, 12 см и 10 см
Ответы
Автор ответа:
5
Ответ:
Объяснение:
вот честно не знаю как 3 решается, но кажется что не хватает данных...
Приложения:
Похожие вопросы
Предмет: Русский язык,
автор: san4ez4343
Предмет: Русский язык,
автор: неможетбыть
Предмет: Английский язык,
автор: Юлия300899
Предмет: Литература,
автор: tbrishtel
Предмет: Математика,
автор: xvhdhuchgvhjппроор