Предмет: Алгебра,
автор: DiPan
Помогите решить задание по алгебре, даю 100 балов!
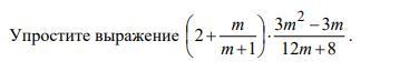
Задание на скриншоте.
Приложения:
Ответы
Автор ответа:
1
Ответ:
Объяснение: готово
Приложения:
DiPan:
Спасибо!!!
Похожие вопросы
Предмет: Русский язык,
автор: ДарьяСавилова
Предмет: Русский язык,
автор: мишка2002090
Предмет: Другие предметы,
автор: натарулит
Предмет: Математика,
автор: euduiddiis