Предмет: Математика,
автор: nataliastelmachyk197
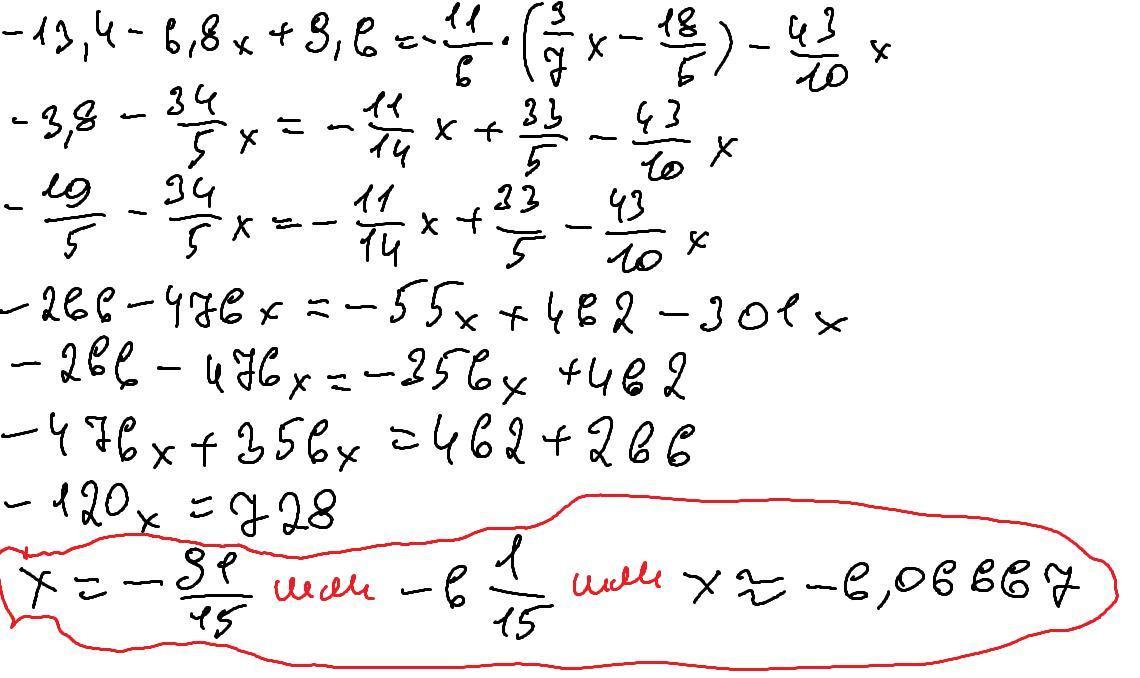
Розв′яжіть рівняння -13,4 -2(3,4х-4,8)= -1 1/6 (3/7 х-3,6)-4,3х
Ответы
Автор ответа:
0
Ответ:
Пошаговое объяснение:
Приложения:
Похожие вопросы
Предмет: Русский язык,
автор: vmd2708
Предмет: Русский язык,
автор: nikitamol
Предмет: Английский язык,
автор: ЫВЫВФ
Предмет: Математика,
автор: ум250