Предмет: Алгебра,
автор: Sofa2207
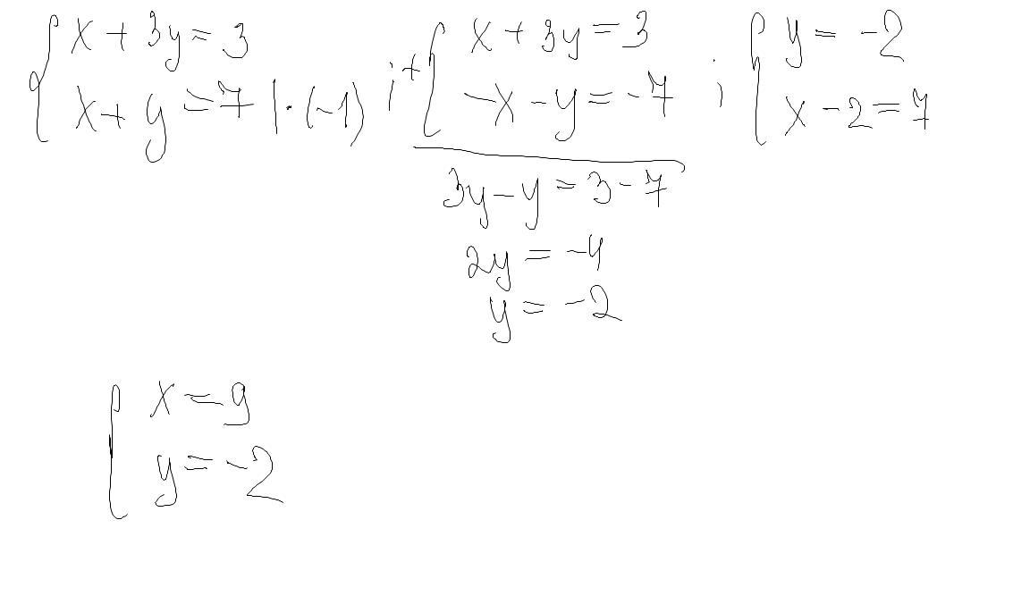
Розв’язати систему лінійних рівнянь способом додавання: {x+3y=3 x+y=7 помогите ОЧЕНЬ СРОЧНО ПОЖАЛУЙСТАААААААААААААААААААААААА
50 БАЛОВ
Ответы
Автор ответа:
5
Ответ:
x=9, y=-2
Объяснение:
Приложения:
Sofa2207:
спасибо большое
Похожие вопросы
Предмет: Русский язык,
автор: Аноним
Предмет: Русский язык,
автор: svestylia
Предмет: Русский язык,
автор: CrazyDEAD
Предмет: Математика,
автор: msnastja1999
Предмет: Алгебра,
автор: mektepinamk