Предмет: Физика, автор: elenafyrsenko203

Чему равна емкость конденсатора в колебательном контуре, если индуктивность катушки 0,1Гн, а резонансная частота 50Гц?​

Ответы

Автор ответа: Marina34680
10

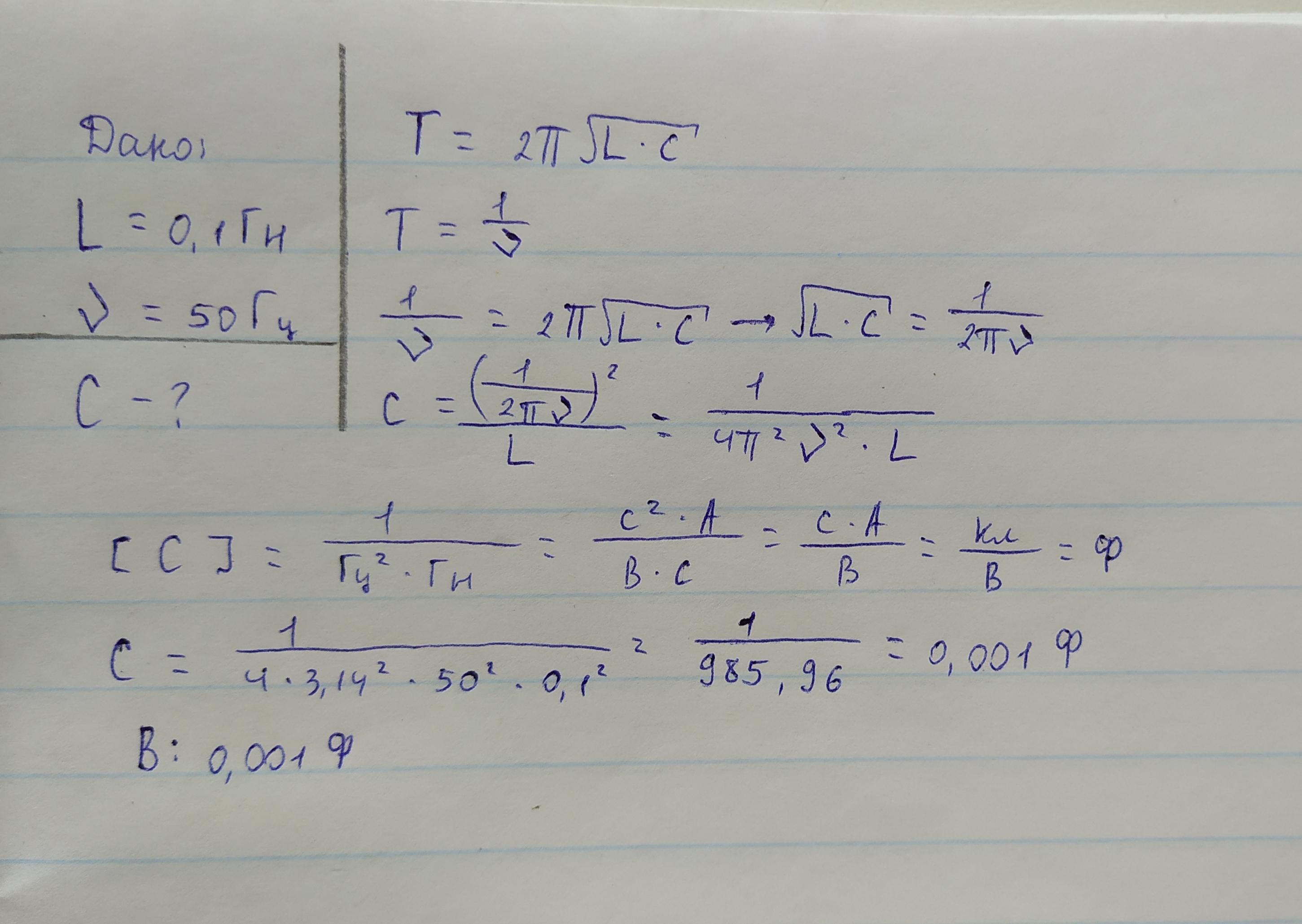
Ответ:

0,001 Ф

Объяснение:

Приложения:
Похожие вопросы
Предмет: Русский язык, автор: Аноним
1) Укажите предложение с обстоятельством образа действия 
А) целый день шел дождь
B) мы пришли вам помочь 
С) лошади бежали дружно 
D) вокруг толпился народ 
Е) из за дождя нельзя было гулять 
2) Сочинительная связь в сочетании слов:
А) война с миром 
B) договорясь о мире 
С) мирный договор  
D) договориться о мире 
Е) война и мир 
3) укажите предложение с глаголом сказуемым во множественном числе 
А) значительна часть учеников нашего класса являются членами различных кружков 
B) на стоянке стояли  в ожидании пассажиров три машины
С) мне нравится его спокойствие и ровная речь 
D) на этой неделе произошло немало спортивных событий 
Е) жили старик со своей старухой у самого синего моря 
4) укажите предложение с обратным порядком слов 
А) в лодку стала набираться вода 
B) давай пить кофе 
С) люди мечтают о счастье и мире 
D) пасмурная погода не портила нам отношения 
5) укажите предложение с прямым порядком слов 
А) в лодку стала набираться вода 
B) прибрежные пески от росы делаются темным 
С) вечером становится прохладно 
D) ёлочные игрушки делаются из разноцветной бумаги