Предмет: Математика,
автор: Аноним
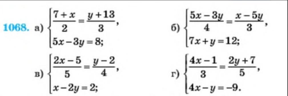
Решите пожалуйста дам 30 баллов
с полным решением
Приложения:
Ответы
Автор ответа:
1
Ответ: держи пока первые два, сейчас добавлю остальное
Пошаговое объяснение:
готово)
Приложения:
Похожие вопросы
Предмет: Английский язык,
автор: spolin2015
Предмет: Другие предметы,
автор: casi
Предмет: Русский язык,
автор: Аноним
Предмет: Математика,
автор: Russkaia
Предмет: Химия,
автор: lucky221