Предмет: Алгебра,
автор: atomtashit
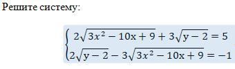
Можете решить даже 1
Приложения:
Ответы
Автор ответа:
1
Во втором задании не совсем уверена, решение в фото
Приложения:
Похожие вопросы
Предмет: Английский язык,
автор: svetik081999
Предмет: Українська мова,
автор: MaShA01020
Предмет: Русский язык,
автор: albii
Предмет: История,
автор: nitserus
Предмет: Литература,
автор: sasaselicev18