Предмет: Алгебра,
автор: VikaLovess
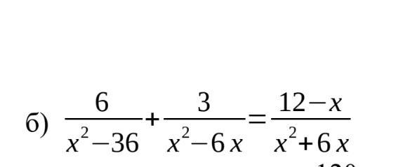
Помогите решить, пожалуйста..
Приложения:
Ответы
Автор ответа:
1
Ответ:
ответ на фото
Объяснение:
Приложения:
Автор ответа:
0
данное решения в виде графика
Приложения:
Похожие вопросы
Предмет: Русский язык,
автор: warikwiken
Предмет: Русский язык,
автор: talancevv
Предмет: Русский язык,
автор: yalola76
Предмет: Математика,
автор: КоляПочкин
Предмет: География,
автор: ZameCh