Предмет: Алгебра,
автор: serebrennicovayasmin
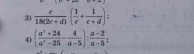
помогите пожалуйста!! записать в виде дроби
Приложения:
Ответы
Автор ответа:
1
Ответ:
Ответное фото с ответами!Я все решила не волнуйся
Приложения:
asylzanbektursunova:
Отныне я буду помогать тебе с алгеброй Ахаха
воу, спасибо большое)
Незашто*
Похожие вопросы
Предмет: Русский язык,
автор: kupreevamasha
Предмет: Русский язык,
автор: дрррр
Предмет: Английский язык,
автор: katerinakopyrina
Предмет: Математика,
автор: JOCKI
Предмет: Математика,
автор: cadyrowansilya