Предмет: Математика,
автор: Logana
Номер 254
Помогите это решить пожалуйста я не понимаю
Приложения:
Ответы
Автор ответа:
1
Ответ:
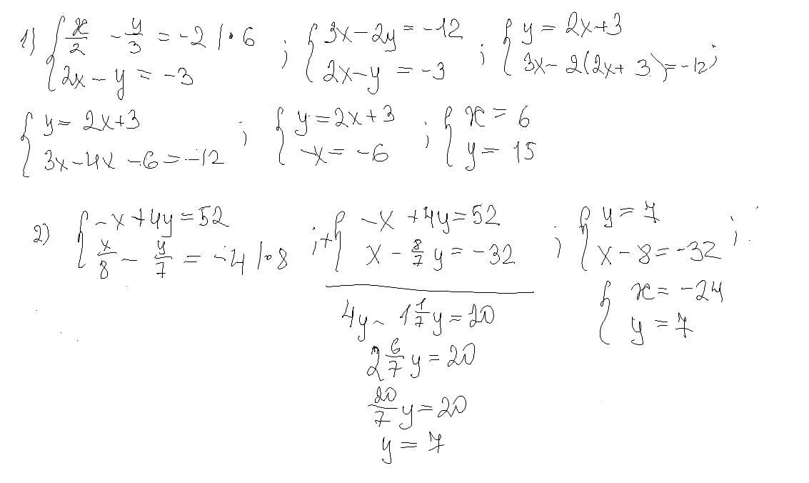
1)х=6, у=15
2)х=-24, у=7
Пошаговое объяснение:
Приложения:
Похожие вопросы
Предмет: Английский язык,
автор: irusikshyshkova
Предмет: Русский язык,
автор: elenmet
Предмет: Английский язык,
автор: sashylia94
Предмет: Математика,
автор: elmira8226
Предмет: Математика,
автор: Ккарина2003