Предмет: Физика,
автор: vikaffffff
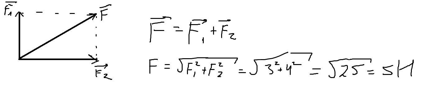
Сили 3 Н та 4 н взаємно перпендикулярні.Знайти модуль (величину) рівної сили.
Ответы
Автор ответа:
2
Ответ:
5 Н
Объяснение:
Приложения:
Похожие вопросы
Предмет: Английский язык,
автор: Gule62
Предмет: Русский язык,
автор: DASHKA99854453222
Предмет: Русский язык,
автор: denisrudakov
Предмет: Математика,
автор: vvvvМарьяна
Предмет: Математика,
автор: kakoito4el