Предмет: Алгебра,
автор: Gghhgghhgghh
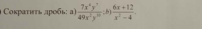
помогите решить примеры по алгебре их 2
Приложения:
Ответы
Автор ответа:
1
Ответ:
Решение на фото
а) х^2/7у^3
б) 6/х-2
Приложения:
Похожие вопросы
Предмет: Английский язык,
автор: andreyrudenko2
Предмет: Другие предметы,
автор: настя2003березень
Предмет: Английский язык,
автор: noteeeeeee
Предмет: Математика,
автор: kayum7760
Предмет: Математика,
автор: Knyazevamoya