Предмет: Математика,
автор: Аноним
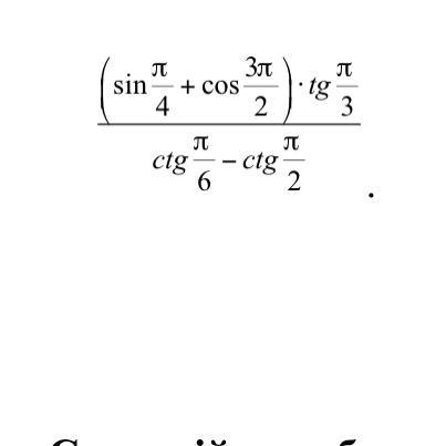
Обчислити СРОЧНОООО!!!!!!!
Приложения:
Ответы
Автор ответа:
2
Вот решение ниже:
Удачи!
Удачи!
Приложения:
Автор ответа:
0
Ответ:
56/6
Пошаговое объяснение:
dfhdshvh:
В другом же ответе показано пошаговое объяснение
Оно верное
Похожие вопросы
Предмет: Русский язык,
автор: wik888ZZZ
Предмет: Русский язык,
автор: zdamir
Предмет: Английский язык,
автор: alinaplahina
Предмет: Математика,
автор: shkolnik277