Предмет: Химия,
автор: dfrre
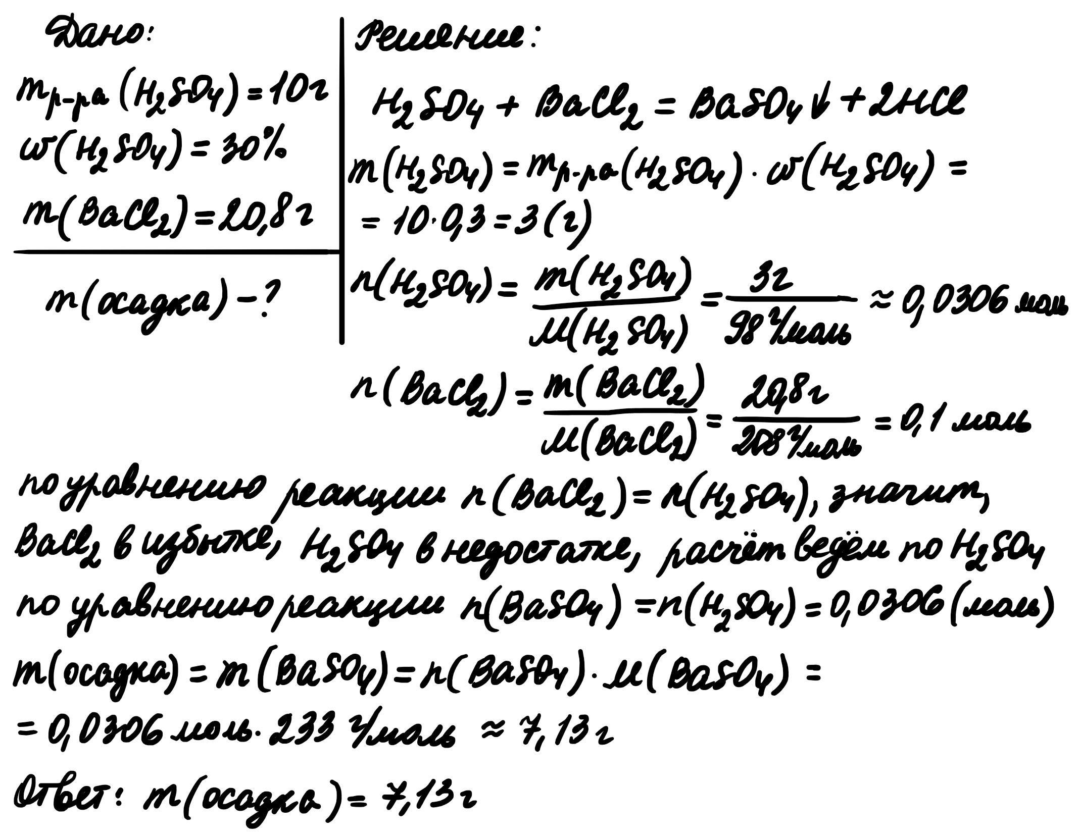
Задача (на избыток-
недостаток): Определите
массу осадка , который
образуется при
взаимодействии 10 г 30%
раствора серной кислоты и
20,8 г хлорида бария.
Ответы
Автор ответа:
1
Ответ:
7,13 г
Объяснение:
см.изображение
Приложения:
Похожие вопросы
Предмет: Українська література,
автор: alyona20030
Предмет: Другие предметы,
автор: oshekoldina
Предмет: Русский язык,
автор: issashka
Предмет: Математика,
автор: витавасилек
Предмет: Геометрия,
автор: katya31554