Предмет: Алгебра,
автор: fikatrin
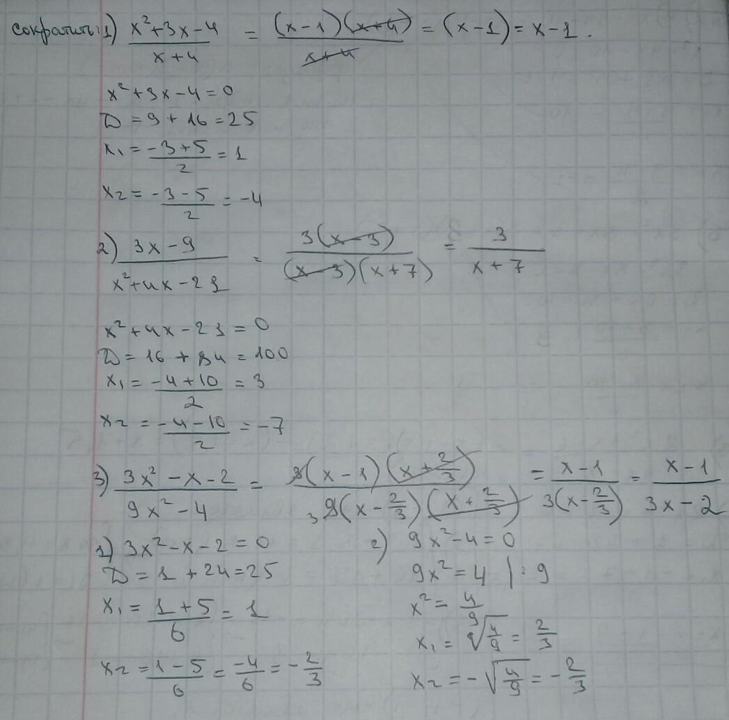
Сократите дробь
1) (x^2+3x-4)/(x+4)
2) (3x-9)/(x^2+4x-21)
3) (3x^2-x-2)/(9x^2-4)
Ответы
Автор ответа:
3
Ответ:
Решение на фотографии
Приложения:
Похожие вопросы
Предмет: Русский язык,
автор: kazan58
Предмет: Русский язык,
автор: Lololoskarunet
Предмет: Русский язык,
автор: glushkovaov
Предмет: Математика,
автор: артур546
Предмет: Математика,
автор: bykovalola