Предмет: Геометрия,
автор: pilyavskiy2005
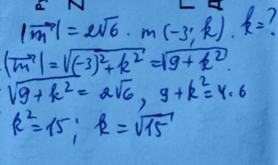
Дан вектор m, абсолютная величина которого равна 2√6. Известно, что вектор m(-3;k). Найдите k
Ответы
Автор ответа:
0
Ответ:
k=√15
Объяснение:
решение во вложении
Приложения:
Похожие вопросы
Предмет: Английский язык,
автор: ksenijagolub
Предмет: Русский язык,
автор: olyusya20
Предмет: Українська мова,
автор: Ололлоо
Предмет: Математика,
автор: Аноним