Предмет: Алгебра,
автор: natalyabessarab8
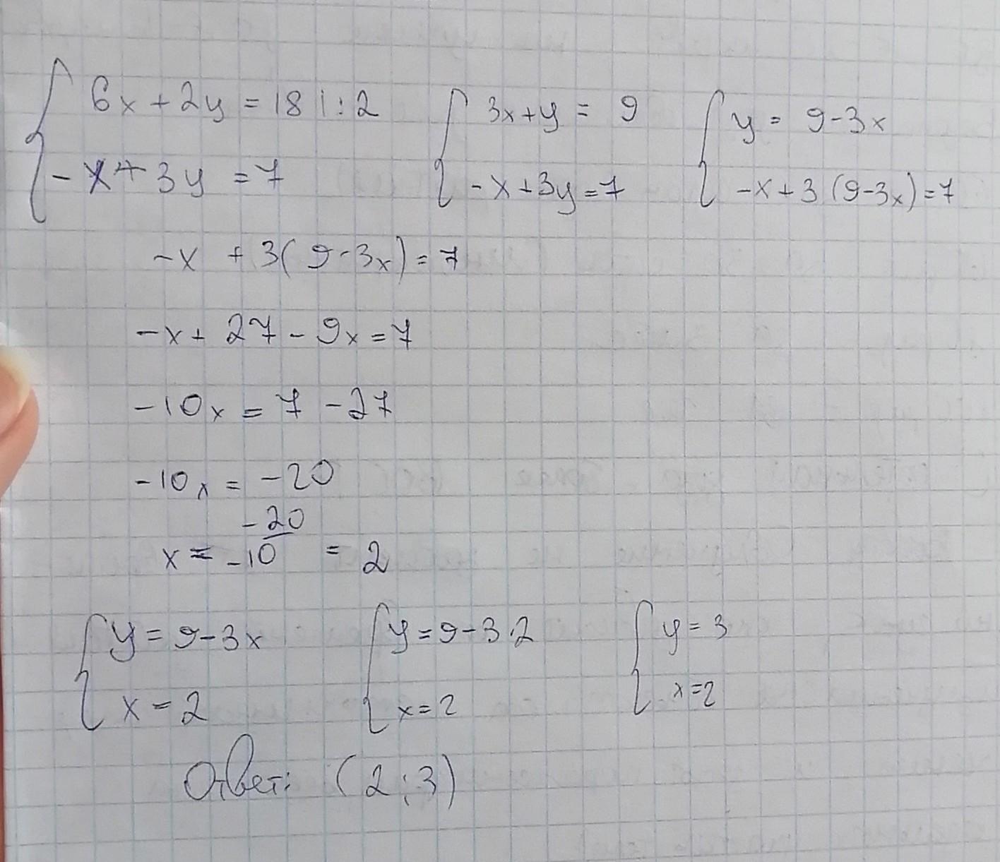
какие из пары чисел (-2,-3),(2,3),(-2;3),(2;-3),(2;2) является решением уравнений:6х+2y=18и-x+3y=7
alekseeva2019:
18и? или просто 18?
просто 18,и следующее -х+3y=7
линейные уравнения
Ответы
Автор ответа:
0
Ответ:
(2;3)
Объяснение:
фото
...................
Приложения:
Похожие вопросы
Предмет: Русский язык,
автор: achotovich
Предмет: Русский язык,
автор: sahilsabosh
Предмет: Русский язык,
автор: asdef
Предмет: Математика,
автор: дияз2005
Предмет: Физика,
автор: Trickypixie1001