Предмет: Алгебра,
автор: Hakermaker
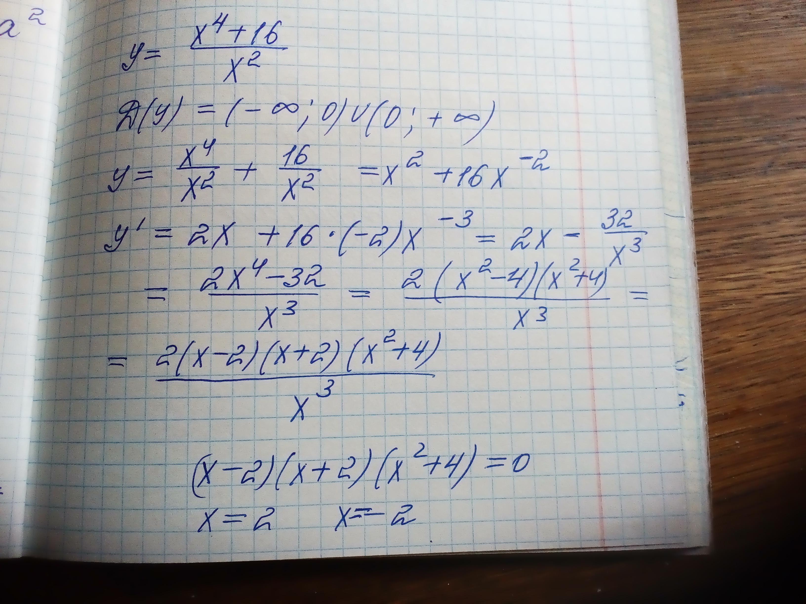
Выясните на каких промежутках функция возрастает а на какой убывает. найдите точки экстремума функции у=x^4+16/x^2
Ответы
Автор ответа:
1
Ответ:
Объяснение:
!!!!!!!!!!!!!!!!!!!!!!
Приложения:
Похожие вопросы
Предмет: Русский язык,
автор: kaplenkoi
Предмет: Русский язык,
автор: 45612
Предмет: Русский язык,
автор: Eslauer
Предмет: Литература,
автор: Lereek1
Предмет: Алгебра,
автор: Алекс19761