Предмет: Математика, автор: Lalalad12

Помогите в алгеброй умоляю!!! 10 класс!!

Приложения:

Ответы

Автор ответа: artalex74
1

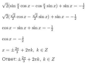
\sqrt{2}(\sin \frac{\pi}{4} \cos x-\cos \frac{\pi}{4} \sin x)+ \sin x =-\frac{1}{2} \\\\\sqrt{2}(\frac{\sqrt{2} }{2} \cos x-\frac{\sqrt{2} }{2} \sin x)+ \sin x =-\frac{1}{2} \\\\ \cos x-\sin x+\sin x=-\frac{1}{2} \\\\ \cos x=-\frac{1}{2} \\\\ x=\б \frac{2\pi}{3} +2\pi k,\ k\in Z

Ответ: \б \frac{2\pi}{3} +2\pi k,\ k\in Z

Приложения:
Похожие вопросы
Предмет: Математика, автор: 41739