Предмет: Алгебра,
автор: iliya6580
Забыл как решается, помогите :)
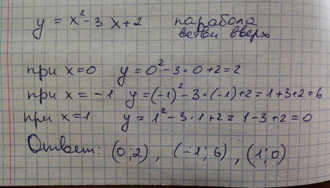
Укажите координаты точки, через которую проходит график функции

Ответы
Автор ответа:
1
Указала три таких точки. Обычно, подобные задания тестовые - с выбором ответа.
Приложения:
Похожие вопросы
Предмет: Русский язык,
автор: Камилапасюля
Предмет: Другие предметы,
автор: 20052705
Предмет: Українська мова,
автор: jhtfwegyfetf
Предмет: Математика,
автор: Череп5
Предмет: История,
автор: ariadna8