Предмет: Алгебра,
автор: Аноним
Решите пж
Только нормально, чтобы было расписано решение пж(если можно фото прикрепить с решением в тетрадь)
40баллов
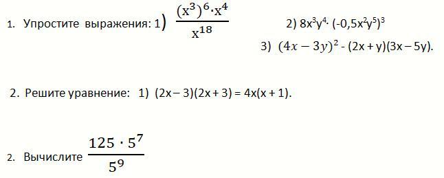
Приложения:
Ответы
Автор ответа:
1
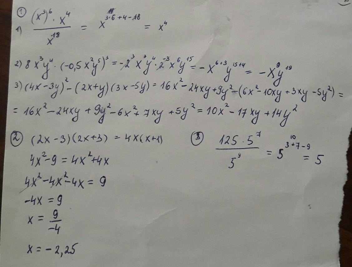
решение на фотографии
Приложения:
Похожие вопросы
Предмет: Русский язык,
автор: 7909097
Предмет: Английский язык,
автор: Аноним
Предмет: Русский язык,
автор: Kate231
Предмет: История,
автор: Вероника55561