Предмет: Геометрия,
автор: Аноним
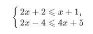
Решите систему неравенств и отметьте верный ответ.
Приложения:
Ответы
Автор ответа:
2
Ответ:
Надеюсь понятно объяснила
Приложения:
Похожие вопросы
Предмет: Українська мова,
автор: kvitoshka1981
Предмет: Русский язык,
автор: ingatubolceva
Предмет: Русский язык,
автор: radon1509
Предмет: Математика,
автор: Лесок5
Предмет: Информатика,
автор: Katrin1102