Предмет: Алгебра,
автор: 1Dikson1
Помогите пожалуйста Срочно!!! Система двух линейных уравнений (распределительный закон умножения)
Приложения:
Ответы
Автор ответа:
1
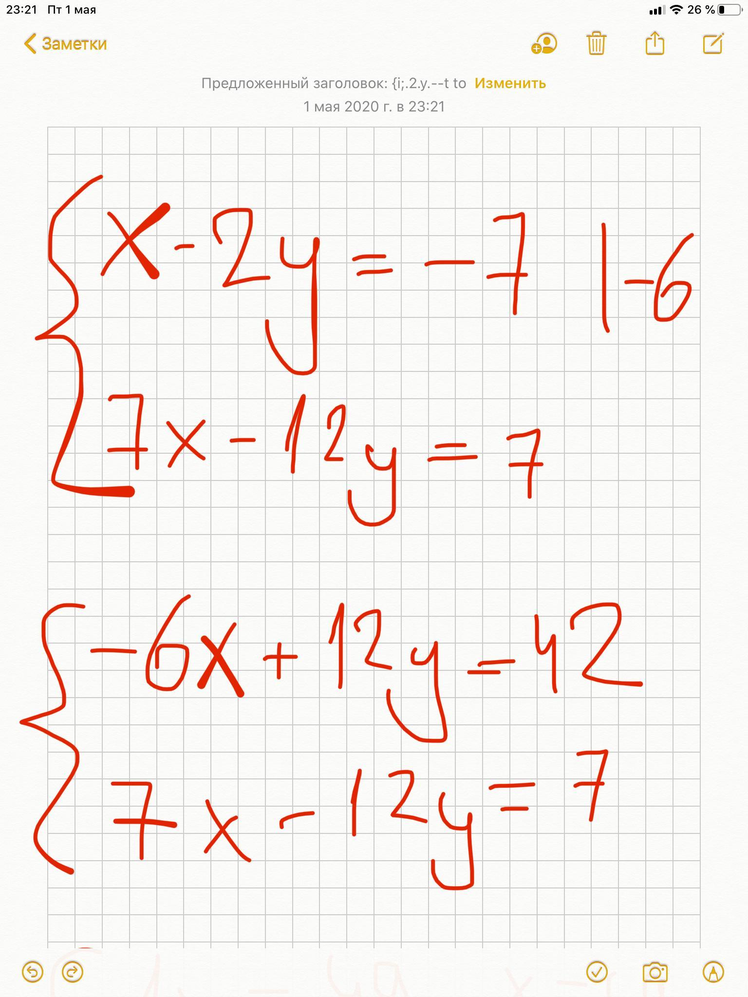
Ответ:
x = 49
y = 28
Объяснение:
x - 2y = -7 => x = 2y - 7
7x - 12y = 7
14y - 49 - 12y = 7
2y = 56
y = 28
x = 2*28 - 7 = 49
1Dikson1:
Спасибо болтше
Автор ответа:
1
Ответ:
Ответ: (49;28)
Объяснение:
На фото
Приложения:
Похожие вопросы
Предмет: Русский язык,
автор: Аноним
Предмет: Русский язык,
автор: skirdovgtgrtg
Предмет: Русский язык,
автор: Mim
Предмет: Литература,
автор: PichaCool