Предмет: Математика,
автор: mrgnv07
помогите пожалуйста решить интеграл. Срочно!!
Приложения:
Ответы
Автор ответа:
1
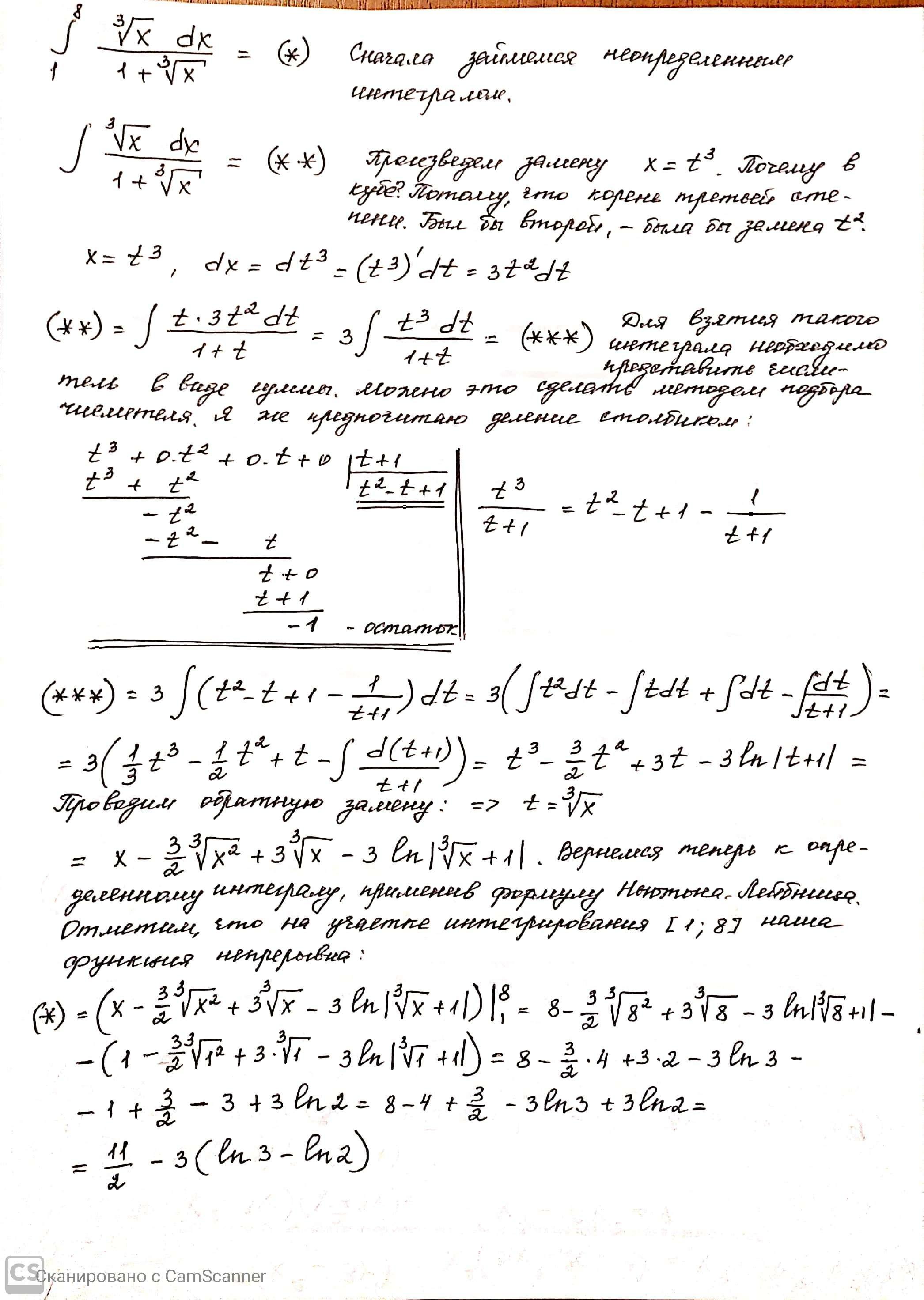
Ответ:
Пошаговое объяснение: решение в файле
Приложения:
mrgnv07:
Спасибо большое
Спасибо большое
Похожие вопросы
Предмет: Русский язык,
автор: Александр161
Предмет: Русский язык,
автор: Александр161
Предмет: Русский язык,
автор: Александр161
Предмет: Литература,
автор: Каролинак1
Предмет: Математика,
автор: ВасилийАкакиевич